Simulation Data Generation

Generate synthetic DMS data for two homologs (h1, h2) with known mutational effects, shifts, and global epistasis. This notebook produces the ground-truth datasets used by all downstream simulation notebooks.

Outline

  1. Simulate a reference gene sequence and mutational effects

  2. Create a second homolog with non-identical sites

  3. Assign shifted mutational effects between homologs

  4. Simulate variant libraries and functional scores

  5. Save results and visualize distributions

[1]:
import warnings

warnings.filterwarnings("ignore")

import os
import sys

sys.path.insert(0, "notebooks")

import Bio.Seq
import dms_variants.simulate
import matplotlib.pyplot as plt
import numpy as np
import pandas as pd
import random
import seaborn as sns
from dms_variants.constants import (
    AA_TO_CODONS,
    AAS_NOSTOP,
    AAS_WITHSTOP,
    CODONS_NOSTOP,
)
from multidms.utils import split_sub

from _common import build_phenotype_fxn_dict, load_config

%matplotlib inline
[2]:
config_path = "config/config.yaml"
[3]:
# Parameters
config_path = "config/config.yaml"

[4]:
# Load configuration and extract simulation parameters
config = load_config(config_path)
sim = config["simulation"]

seed = config["seed"]
genelength = sim["genelength"]
wt_latent = sim["wt_latent"]
stop_effect = sim["stop_effect"]
norm_weights = tuple(tuple(w) for w in sim["norm_weights"])
n_non_identical_sites = sim["n_non_identical_sites"]
min_muteffect_in_bundle = sim["min_muteffect_in_bundle"]
max_muteffect_in_bundle = sim["max_muteffect_in_bundle"]
n_shifted_non_identical_sites = sim["n_shifted_non_identical_sites"]
n_shifted_identical_sites = sim["n_shifted_identical_sites"]
shift_gauss_variance = sim["shift_gauss_variance"]
sigmoid_phenotype_scale = sim["sigmoid_phenotype_scale"]
variants_per_lib_genelength_scalar = sim["variants_per_lib_genelength_scalar"]
avgmuts = sim["avgmuts"]
bclen = sim["bclen"]
variant_error_rate = sim["variant_error_rate"]
avgdepth_per_variant = sim["avgdepth_per_variant"]
lib_uniformity = sim["lib_uniformity"]
noise = sim["noise"]
bottleneck_variants_per_lib_scalar = sim["bottleneck_variants_per_lib_scalar"]
output_dir = sim["output_dir"]
train_frac = config["train_frac"]

random.seed(seed)
np.random.seed(seed)

os.makedirs(output_dir, exist_ok=True)
print(f"Output directory: {output_dir}")
Output directory: results

Simulate reference sequence

[5]:
geneseq_h1 = "".join(random.choices(CODONS_NOSTOP, k=genelength))
aaseq_h1 = str(Bio.Seq.Seq(geneseq_h1).translate())
print(f"Wildtype gene of {genelength} codons:\n{geneseq_h1}")
print(f"Wildtype protein:\n{aaseq_h1}")
Wildtype gene of 50 codons:
TTCTTAAATACCTCAGTAGGACAGGCAGCCGATAGCCGGCGAGTATTTTTAGACCGTCAAAAGAACCTACATCCTTGCGAAGAGATGAACCATAGACTTTTTGGCAGTTGCTACGTATGGGTGTACCCCTTGTTCAGCGTCGGTCTAGAA
Wildtype protein:
FLNTSVGQAADSRRVFLDRQKNLHPCEEMNHRLFGSCYVWVYPLFSVGLE

Mutational effects

Simulate latent mutational effects using a SigmoidPhenotypeSimulator.

[6]:
mut_pheno_args = {
    "geneseq": geneseq_h1,
    "wt_latent": wt_latent,
    "seed": seed,
    "stop_effect": stop_effect,
    "norm_weights": norm_weights,
}

SigmoidPhenotype_h1 = dms_variants.simulate.SigmoidPhenotypeSimulator(
    **mut_pheno_args
)
SigmoidPhenotype_h2 = dms_variants.simulate.SigmoidPhenotypeSimulator(
    **mut_pheno_args
)

Non-reference homolog sequence

Simulate a second homolog by introducing mutations at non-identical sites.

[7]:
non_identical_sites = sorted(
    random.sample(range(1, len(aaseq_h1) + 1), n_non_identical_sites)
)
aaseq_h2 = ""
geneseq_h2 = ""

for aa_n, aa in enumerate(aaseq_h1, 1):
    codon = geneseq_h1[(aa_n - 1) * 3 : 3 * aa_n]
    if aa_n in non_identical_sites:
        valid_bundle_mutations = [
            mut_aa
            for mut_aa in AAS_NOSTOP
            if (
                (mut_aa != aa)
                and (
                    SigmoidPhenotype_h1.muteffects[f"{aa}{aa_n}{mut_aa}"]
                    > min_muteffect_in_bundle
                )
                and (
                    SigmoidPhenotype_h1.muteffects[f"{aa}{aa_n}{mut_aa}"]
                    < max_muteffect_in_bundle
                )
            )
        ]
        assert len(valid_bundle_mutations) > 0, aa_n
        mut_aa = random.choice(valid_bundle_mutations)
        aaseq_h2 += mut_aa
        mut_codon = random.choice(AA_TO_CODONS[mut_aa])
        geneseq_h2 += mut_codon
    else:
        aaseq_h2 += aa
        geneseq_h2 += codon

homolog_seqs_df = pd.DataFrame(
    {"wt_aa_h1": list(aaseq_h1), "wt_aa_h2": list(aaseq_h2)},
    index=range(1, len(aaseq_h1) + 1),
)
homolog_seqs_df.index.name = "site"

n_diffs = len(homolog_seqs_df.query("wt_aa_h1 != wt_aa_h2"))
print("Sequence alignment of homologs h1 and h2:")
print("h1", aaseq_h1)
print("h2", aaseq_h2)
print("Number of aa differences:", n_diffs)
assert len(aaseq_h1) == len(aaseq_h2)
assert aaseq_h2 == str(Bio.Seq.Seq(geneseq_h2).translate())
assert n_diffs == len(non_identical_sites)
Sequence alignment of homologs h1 and h2:
h1 FLNTSVGQAADSRRVFLDRQKNLHPCEEMNHRLFGSCYVWVYPLFSVGLE
h2 FLNTMVGWDADTRRVFLDFAKNLHPVEEMNCRLFGSCYVWVVPLFSYGLE
Number of aa differences: 10

Shifted mutational effects

Randomly choose sites with shifted effects between homologs.

[8]:
shifted_non_identical_sites = sorted(
    random.sample(non_identical_sites, n_shifted_non_identical_sites)
)
shifted_identical_sites = sorted(
    random.sample(
        list(set(range(1, len(aaseq_h1) + 1)) - set(non_identical_sites)),
        n_shifted_identical_sites,
    )
)
shifted_sites = sorted(shifted_identical_sites + shifted_non_identical_sites)
assert len(shifted_sites) == len(set(shifted_sites))
print("Sites with shifts that are...")
print(
    f"identical (n={len(shifted_identical_sites)}):",
    ", ".join(map(str, shifted_identical_sites)),
)
print(
    f"non-identical (n={len(shifted_non_identical_sites)}):",
    ", ".join(map(str, shifted_non_identical_sites)),
)
Sites with shifts that are...
identical (n=4): 6, 14, 25, 39
non-identical (n=6): 8, 9, 12, 19, 31, 47
[9]:
def sim_mut_shift(shifted_site, mutation):
    """Draw a Gaussian shift for shifted sites, 0 otherwise."""
    if (not shifted_site) or ("*" in mutation):
        return 0
    else:
        return np.random.normal(loc=0, scale=shift_gauss_variance, size=1)[0]


mut_effects_df = (
    pd.DataFrame.from_dict(
        SigmoidPhenotype_h1.muteffects, orient="index", columns=["beta_h1"]
    )
    .reset_index()
    .rename(columns={"index": "mutation"})
    .assign(
        wt_aa=lambda x: x["mutation"].apply(lambda y: split_sub(y)[0]),
        site=lambda x: x["mutation"].apply(lambda y: int(split_sub(y)[1])),
        mut_aa=lambda x: x["mutation"].apply(lambda y: split_sub(y)[2]),
        shifted_site=lambda x: x["site"].isin(shifted_sites),
        shift=lambda x: x.apply(
            lambda row: sim_mut_shift(row["shifted_site"], row["mutation"]),
            axis=1,
        ),
        beta_h2=lambda x: x["beta_h1"] + x["shift"],
    )
    .merge(homolog_seqs_df, left_on="site", right_index=True, how="left")
    .assign(bundle_mut=lambda x: x["mut_aa"] == x["wt_aa_h2"])
)

mut_effects_df[mut_effects_df["shifted_site"]][
    [
        "site",
        "wt_aa_h1",
        "wt_aa_h2",
        "mutation",
        "beta_h1",
        "shift",
        "beta_h2",
        "shifted_site",
    ]
]
[9]:
site wt_aa_h1 wt_aa_h2 mutation beta_h1 shift beta_h2 shifted_site
100 6 V V V6A -0.406196 -0.277561 -0.683757 True
101 6 V V V6C -3.915089 -0.037474 -3.952563 True
102 6 V V V6D -0.409342 -1.422707 -1.832049 True
103 6 V V V6E -4.280136 1.092420 -3.187716 True
104 6 V V V6F -0.862349 -1.194428 -2.056777 True
... ... ... ... ... ... ... ... ...
935 47 V Y V47S -0.027698 -0.967941 -0.995638 True
936 47 V Y V47T -2.240557 -0.225120 -2.465677 True
937 47 V Y V47W -0.178289 0.239183 0.060894 True
938 47 V Y V47Y -0.491120 0.414399 -0.076721 True
939 47 V Y V47* -10.000000 0.000000 -10.000000 True

200 rows × 8 columns

Mutation effect distribution

[10]:
fig, ax = plt.subplots(figsize=(5, 3))
ax.hist(mut_effects_df["beta_h1"].values, bins=50, color="steelblue", edgecolor="white", alpha=0.8)
ax.set_xlabel(r"Mutation effect ($\beta_{h1}$)")
ax.set_ylabel("Count")
ax.set_title("Distribution of mutation effects (h1)")
ax.spines[["top", "right"]].set_visible(False)
plt.tight_layout()
plt.show()
_images/sim_simulate_data_15_0.png

Shift distribution at shifted sites

[11]:
shifted_muts = mut_effects_df[
    (mut_effects_df["shifted_site"]) & (~mut_effects_df["mutation"].str.contains(r"\*"))
]
fig, ax = plt.subplots(figsize=(5, 3))
ax.hist(shifted_muts["shift"].values, bins=30, color="coral", edgecolor="white", alpha=0.8)
ax.set_xlabel("Shift")
ax.set_ylabel("Count")
ax.set_title(f"Shift distribution at shifted sites (n={len(shifted_sites)} sites, excluding stops)")
ax.spines[["top", "right"]].set_visible(False)
plt.tight_layout()
plt.show()
_images/sim_simulate_data_17_0.png

Shift heatmap (site x amino acid)

[12]:
import string
aa_order = sorted(set(mut_effects_df["mut_aa"].unique()))
pivot = mut_effects_df.pivot_table(index="mut_aa", columns="site", values="shift")
pivot = pivot.reindex(aa_order)

max_abs = max(abs(pivot.min().min()), abs(pivot.max().max()))

fig, ax = plt.subplots(figsize=(max(7, genelength * 0.15), 4))
sns.heatmap(
    pivot, cmap="RdBu_r", center=0, vmin=-max_abs, vmax=max_abs,
    ax=ax, linewidths=0.5, cbar_kws={"label": "Shift"}
)
# Overlay WT markers
for site_idx, site in enumerate(pivot.columns):
    wt_h1 = homolog_seqs_df.loc[site, "wt_aa_h1"]
    wt_h2 = homolog_seqs_df.loc[site, "wt_aa_h2"]
    if wt_h1 in aa_order:
        y_h1 = aa_order.index(wt_h1)
        ax.scatter(site_idx + 0.5, y_h1 + 0.5, marker="x", color="black", s=30, zorder=5)
    if wt_h1 != wt_h2 and wt_h2 in aa_order:
        y_h2 = aa_order.index(wt_h2)
        ax.scatter(site_idx + 0.5, y_h2 + 0.5, marker="o", color="black", s=30, zorder=5, facecolors="none")
ax.set_xlabel("Site")
ax.set_ylabel("Amino acid")
ax.set_title("Mutational shifts (x = h1 WT, o = h2 WT)")
plt.tight_layout()
plt.show()
_images/sim_simulate_data_19_0.png

Update h2 mutational effects

[13]:
assert sum(mut_effects_df["mutation"].duplicated()) == 0
for mutation in SigmoidPhenotype_h2.muteffects.keys():
    SigmoidPhenotype_h2.muteffects[mutation] = mut_effects_df.loc[
        mut_effects_df["mutation"] == mutation, "beta_h2"
    ].values[0]

wt_latent_phenotype_shift = mut_effects_df.query("bundle_mut")["beta_h2"].sum()
SigmoidPhenotype_h2.wt_latent = (
    SigmoidPhenotype_h1.wt_latent + wt_latent_phenotype_shift
)

print("Characteristics of mutations separating homologs:\n")
for metric in ["beta_h1", "shift", "beta_h2"]:
    print(
        f"  Sum of {metric}:",
        round(sum(mut_effects_df.query("bundle_mut")[metric]), 2),
    )
print(
    "  Final WT latent phenotype of h2:",
    round(SigmoidPhenotype_h2.wt_latent, 2),
)
Characteristics of mutations separating homologs:

  Sum of beta_h1: -0.76
  Sum of shift: -0.83
  Sum of beta_h2: -1.59
  Final WT latent phenotype of h2: 3.41
[14]:
# Fill in mutational effects for bundle sites in h2
for idx, row in mut_effects_df.query("mut_aa == wt_aa_h2").iterrows():
    for aa_mut in AAS_WITHSTOP:
        if aa_mut == row.wt_aa_h2:
            continue
        non_ref_mutation = f"{row.wt_aa_h2}{row.site}{aa_mut}"
        if aa_mut == "*":
            SigmoidPhenotype_h2.muteffects[non_ref_mutation] = stop_effect
        elif aa_mut == row.wt_aa_h1:
            SigmoidPhenotype_h2.muteffects[non_ref_mutation] = -row.beta_h2
        else:
            ref_mut = f"{row.wt_aa_h1}{row.site}{aa_mut}"
            ref_mut_effect = mut_effects_df.loc[
                mut_effects_df["mutation"] == ref_mut, "beta_h2"
            ].values[0]
            SigmoidPhenotype_h2.muteffects[non_ref_mutation] = (
                -row.beta_h2 + ref_mut_effect
            )

Variant libraries

Simulate variant libraries for each homolog.

[15]:
libs = ["lib_1", "lib_2"]
variants_per_lib = variants_per_lib_genelength_scalar * genelength

CodonVariantTable_h1 = dms_variants.simulate.simulate_CodonVariantTable(
    geneseq=geneseq_h1,
    bclen=bclen,
    library_specs={
        lib: {"avgmuts": avgmuts, "nvariants": variants_per_lib} for lib in libs
    },
    seed=seed,
)
CodonVariantTable_h2 = dms_variants.simulate.simulate_CodonVariantTable(
    geneseq=geneseq_h2,
    bclen=bclen,
    library_specs={
        lib: {"avgmuts": avgmuts, "nvariants": variants_per_lib} for lib in libs
    },
    seed=seed,
)

Variant phenotypes and enrichments

Assign latent phenotypes, observed phenotypes, and enrichments to each variant.

[16]:
phenotype_fxn_dict_h1 = build_phenotype_fxn_dict(
    SigmoidPhenotype_h1, sigmoid_phenotype_scale, wt_latent, is_reference=True
)
phenotype_fxn_dict_h2 = build_phenotype_fxn_dict(
    SigmoidPhenotype_h2, sigmoid_phenotype_scale, wt_latent, is_reference=False
)

# Add latent phenotypes
CodonVariantTable_h1.barcode_variant_df["latent_phenotype"] = (
    CodonVariantTable_h1.barcode_variant_df["aa_substitutions"].apply(
        phenotype_fxn_dict_h1["latentPhenotype"]
    )
)
CodonVariantTable_h2.barcode_variant_df["latent_phenotype"] = (
    CodonVariantTable_h2.barcode_variant_df["aa_substitutions"].apply(
        phenotype_fxn_dict_h2["latentPhenotype"]
    )
)

Global epistasis sigmoid

[17]:
z = np.linspace(-10, 10, 200)
ge_bias = -sigmoid_phenotype_scale / (1 + np.exp(-wt_latent))
y = ge_bias + (sigmoid_phenotype_scale / (1 + np.exp(-z)))

fig, ax = plt.subplots(figsize=(4, 4))
ax.plot(z, y, "k-", linewidth=2)
ax.axvline(SigmoidPhenotype_h1.wt_latent, color="steelblue", linestyle="-", linewidth=1.5, label=f"h1 WT ({SigmoidPhenotype_h1.wt_latent:.1f})")
ax.axvline(SigmoidPhenotype_h2.wt_latent, color="coral", linestyle="--", linewidth=1.5, label=f"h2 WT ({SigmoidPhenotype_h2.wt_latent:.1f})")
ax.set_xlabel("Latent phenotype")
ax.set_ylabel("Observed phenotype")
ax.set_title("Global epistasis sigmoid")
ax.legend(fontsize=8)
ax.spines[["top", "right"]].set_visible(False)
plt.tight_layout()
plt.show()
_images/sim_simulate_data_28_0.png
[18]:
# Add observed phenotypes and enrichments
for cvt, fxn_dict in [
    (CodonVariantTable_h1, phenotype_fxn_dict_h1),
    (CodonVariantTable_h2, phenotype_fxn_dict_h2),
]:
    subs = cvt.barcode_variant_df["aa_substitutions"]
    cvt.barcode_variant_df["observed_phenotype"] = subs.apply(
        fxn_dict["observedPhenotype"]
    )
    cvt.barcode_variant_df["observed_enrichment"] = subs.apply(
        fxn_dict["observedEnrichment"]
    )

variants_df = pd.concat(
    [
        CodonVariantTable_h1.barcode_variant_df.assign(homolog="h1"),
        CodonVariantTable_h2.barcode_variant_df.assign(homolog="h2"),
    ]
)
print(f"Generated {len(variants_df)} variants across both homologs")
Generated 200000 variants across both homologs

Pre and post-selection variant read counts

[19]:
bottlenecks = {
    name: variants_per_lib * scalar
    for name, scalar in bottleneck_variants_per_lib_scalar.items()
}

counts_h1, counts_h2 = [
    dms_variants.simulate.simulateSampleCounts(
        variants=variants,
        phenotype_func=pheno_fxn_dict["observedEnrichment"],
        variant_error_rate=variant_error_rate,
        pre_sample={
            "total_count": variants_per_lib
            * np.random.poisson(avgdepth_per_variant),
            "uniformity": lib_uniformity,
        },
        pre_sample_name="pre-selection",
        post_samples={
            name: {
                "noise": noise,
                "total_count": variants_per_lib
                * np.random.poisson(avgdepth_per_variant),
                "bottleneck": bottleneck,
            }
            for name, bottleneck in bottlenecks.items()
        },
        seed=seed,
    )
    for variants, pheno_fxn_dict in zip(
        [CodonVariantTable_h1, CodonVariantTable_h2],
        [phenotype_fxn_dict_h1, phenotype_fxn_dict_h2],
    )
]
CodonVariantTable_h1.add_sample_counts_df(counts_h1)
CodonVariantTable_h2.add_sample_counts_df(counts_h2)

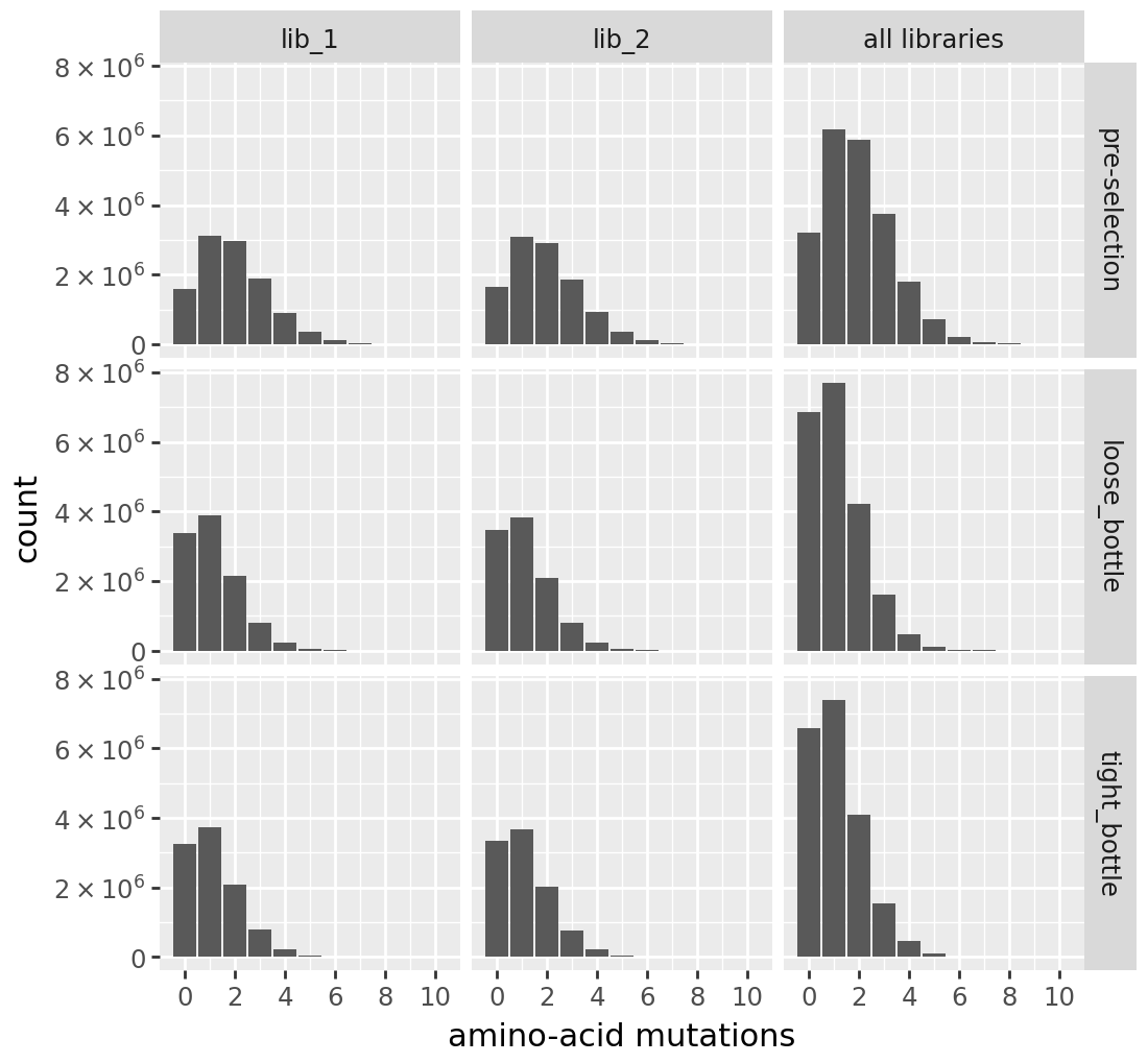
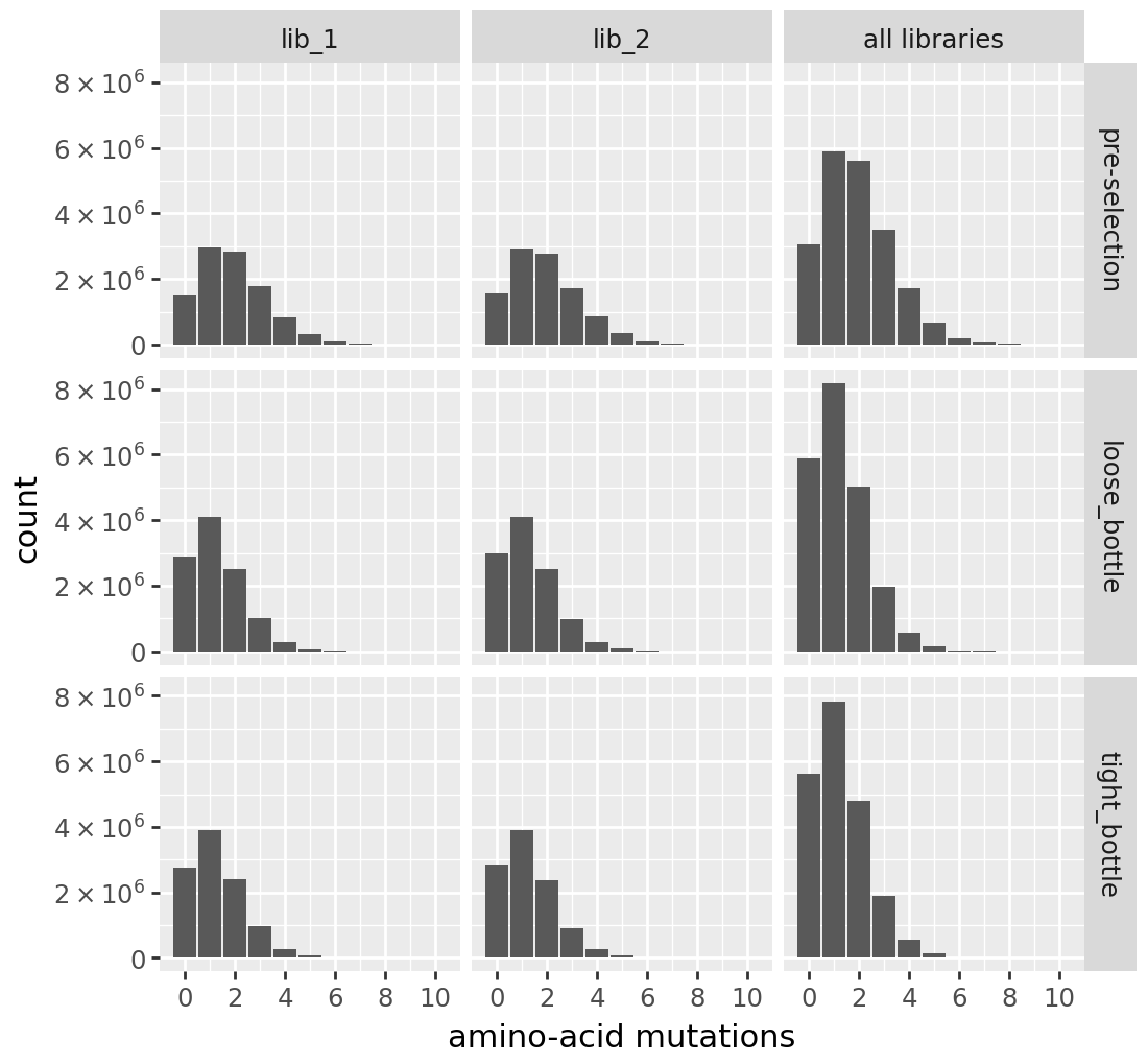
Library diagnostic plots

[20]:
for label, cvt in [("h1", CodonVariantTable_h1), ("h2", CodonVariantTable_h2)]:
    print(f"{label} cumulative variant counts:")
    display(cvt.plotCumulVariantCounts())
h1 cumulative variant counts:
_images/sim_simulate_data_33_1.png
h2 cumulative variant counts:
_images/sim_simulate_data_33_3.png
[21]:
for label, cvt in [("h1", CodonVariantTable_h1), ("h2", CodonVariantTable_h2)]:
    print(f"\n{label} number of AA mutations per variant:")
    display(cvt.plotNumMutsHistogram(mut_type="aa"))

h1 number of AA mutations per variant:
_images/sim_simulate_data_34_1.png

h2 number of AA mutations per variant:
_images/sim_simulate_data_34_3.png
[22]:
for label, cvt in [("h1", CodonVariantTable_h1), ("h2", CodonVariantTable_h2)]:
    print(f"\n{label} cumulative mutation coverage:")
    display(cvt.plotCumulMutCoverage(variant_type="all", mut_type="aa"))

h1 cumulative mutation coverage:
_images/sim_simulate_data_35_1.png

h2 cumulative mutation coverage:
_images/sim_simulate_data_35_3.png

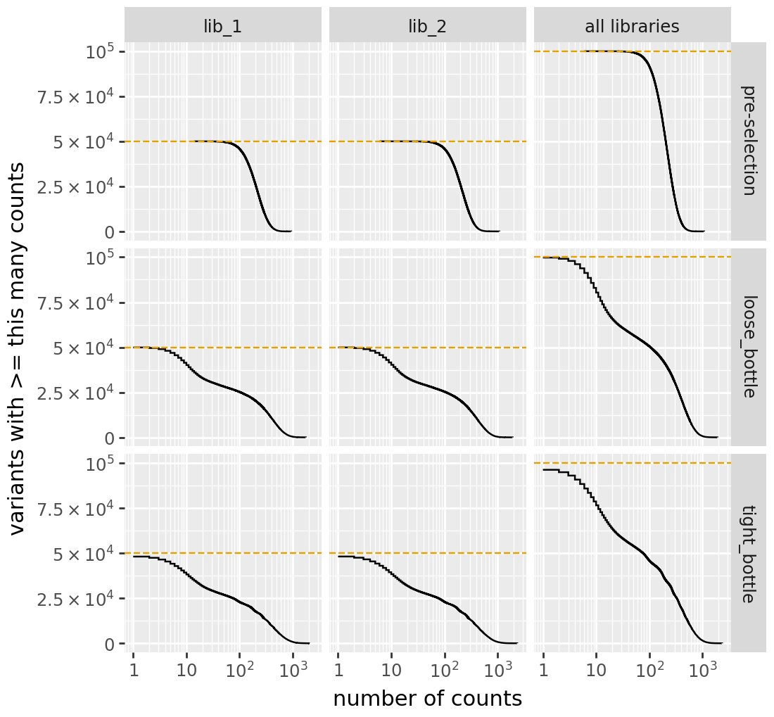
Variant support histograms

[23]:
print("h1 Variant Support Histogram:")
display(CodonVariantTable_h1.plotVariantSupportHistogram(max_support=10))

print("\nh2 Variant Support Histogram:")
display(CodonVariantTable_h2.plotVariantSupportHistogram(max_support=10))
h1 Variant Support Histogram:
_images/sim_simulate_data_37_1.png

h2 Variant Support Histogram:
_images/sim_simulate_data_37_3.png

Prep training data

Combine ground-truth phenotypes and bottleneck-derived functional scores.

[24]:
req_cols = ["library", "homolog", "aa_substitutions", "func_score_type", "func_score"]
ground_truth_training_set = (
    pd.concat(
        [
            variants.barcode_variant_df[
                [
                    "library",
                    "aa_substitutions",
                    "observed_phenotype",
                    "latent_phenotype",
                ]
            ]
            .drop_duplicates()
            .assign(homolog=homolog)
            for variants, homolog in zip(
                [CodonVariantTable_h1, CodonVariantTable_h2], ["h1", "h2"]
            )
        ]
    )
    .melt(
        id_vars=["library", "aa_substitutions", "homolog", "latent_phenotype"],
        value_vars=["observed_phenotype"],
        var_name="func_score_type",
        value_name="func_score",
    )[req_cols]
)
print(f"Ground truth training set: {len(ground_truth_training_set)} rows")
Ground truth training set: 116622 rows
[25]:
bottle_cbf = pd.concat(
    [
        (
            variants.func_scores(
                "pre-selection",
                by="aa_substitutions",
                libraries=libs,
                syn_as_wt=True,
            )
            .assign(homolog=homolog)
            .rename({"post_sample": "func_score_type"}, axis=1)
            .astype({c: str for c in req_cols[:-1]})
        )
        for variants, homolog in zip(
            [CodonVariantTable_h1, CodonVariantTable_h2], ["h1", "h2"]
        )
    ]
)
print(f"Bottleneck functional scores: {len(bottle_cbf)} rows")
Bottleneck functional scores: 233244 rows
[26]:
def classify_variant(aa_subs):
    """Classify variant by mutation type."""
    if "*" in aa_subs:
        return "stop"
    elif aa_subs == "":
        return "wildtype"
    elif len(aa_subs.split()) == 1:
        return "1 nonsynonymous"
    elif len(aa_subs.split()) > 1:
        return ">1 nonsynonymous"
    else:
        raise ValueError(f"unexpected aa_subs: {aa_subs}")


func_scores = (
    pd.concat([ground_truth_training_set, bottle_cbf])
    .assign(
        variant_class=lambda x: x["aa_substitutions"].apply(classify_variant)
    )
    .merge(
        variants_df[
            ["aa_substitutions", "homolog", "latent_phenotype", "library"]
        ].drop_duplicates(),
        on=["aa_substitutions", "homolog", "library"],
        how="inner",
    )
)

func_scores["func_score_type"] = pd.Categorical(
    func_scores["func_score_type"],
    categories=["observed_phenotype", "loose_bottle", "tight_bottle"],
    ordered=True,
)
print(f"Combined functional scores: {len(func_scores)} rows")
print(
    f"Variant classes: {func_scores['variant_class'].value_counts().to_dict()}"
)
Combined functional scores: 349866 rows
Variant classes: {'>1 nonsynonymous': 292527, 'stop': 45933, '1 nonsynonymous': 11394, 'wildtype': 12}

Save outputs

[27]:
muteffects_path = os.path.join(output_dir, "simulated_muteffects.csv")
func_scores_path = os.path.join(output_dir, "simulated_func_scores.csv")

mut_effects_df.to_csv(muteffects_path, index=False)
func_scores.to_csv(func_scores_path, index=False)

print(f"Saved {muteffects_path} ({len(mut_effects_df)} mutations)")
print(f"Saved {func_scores_path} ({len(func_scores)} rows)")
Saved results/simulated_muteffects.csv (1000 mutations)
Saved results/simulated_func_scores.csv (349866 rows)